№938 ГДЗ Атанасян 7-9 класс по геометрии (Геометрия)

Решение #1

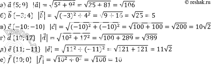
Изображение Найдите длины векторов: а) а {5; 9}; б) b {-3; 4}; в) с {-10; -10}; г) d {10; 17}; д) е {11; -11}; е) f {10;...

Рассмотрим вариант решения задания из учебника Атанасян, Бутузов 9 класс, Просвещение:
Найдите длины векторов: а) а {5; 9}; б) b {-3; 4}; в) с {-10; -10}; г) d {10; 17}; д) е {11; -11}; е) f {10; 0}.
*Цитирирование задания со ссылкой на учебник производится исключительно в учебных целях для лучшего понимания разбора решения задания.
*размещая тексты в комментариях ниже, вы автоматически соглашаетесь с пользовательским соглашением