Упр.532 ГДЗ Макарычев Миндюк 9 класс (Алгебра)
Решение #1
Решение #2

Рассмотрим вариант решения задания из учебника Макарычев, Миндюк, Нешков 9 класс, Просвещение:
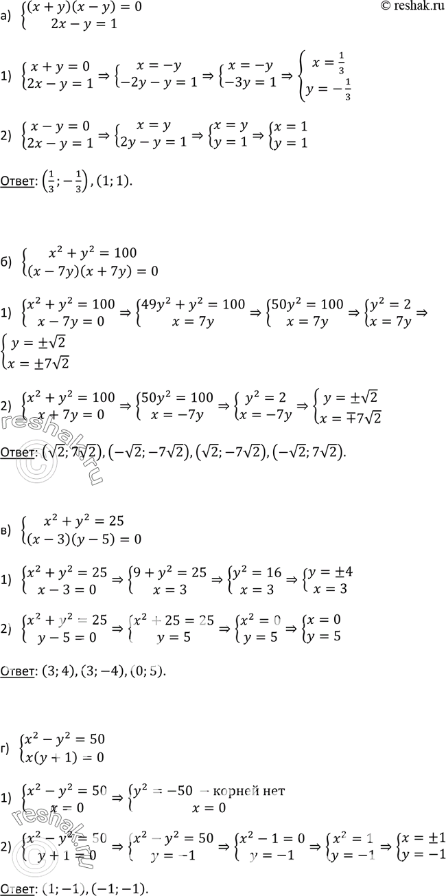
532. Решите систему уравнений
а) система
(x + у)(х - у) = 0,
2х - у = 1;
б) система
х2 + у2 - 100,
(х - 7y)(х + 7y) = 0;
в) система
х2 + у2 = 25,
(х - 3)(у - 5) = 0;
г) система
х2 - у2 = 50,
x(y + 1) = 0.
*размещая тексты в комментариях ниже, вы автоматически соглашаетесь с пользовательским соглашением