Упр.612 ГДЗ Макарычев Миндюк 9 класс (Алгебра)
Решение #1
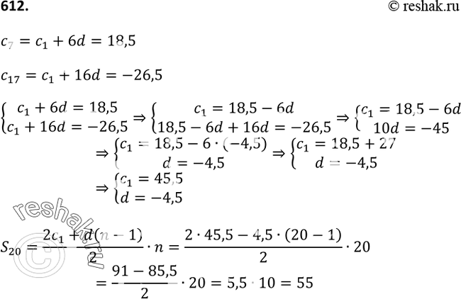
Решение #2

Рассмотрим вариант решения задания из учебника Макарычев, Миндюк, Нешков 9 класс, Просвещение:
612. Найдите сумму первых двадцати членов арифметической прогрессии (сn), если с7 = 18,5 и с17 = -26,5.
*размещая тексты в комментариях ниже, вы автоматически соглашаетесь с пользовательским соглашением