Упр.891 ГДЗ Макарычев Миндюк 9 класс (Алгебра)
Решение #1
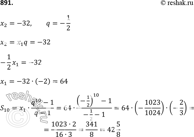
Решение #2

Рассмотрим вариант решения задания из учебника Макарычев, Миндюк, Нешков 9 класс, Просвещение:
891. Найдите сумму первых десяти членов геометрической прогрессии (хn), если х2 = -32 и q = -1/2.
*размещая тексты в комментариях ниже, вы автоматически соглашаетесь с пользовательским соглашением