Упр.568 ГДЗ Макарычев Миндюк 9 класс (Алгебра)
Решение #1
Решение #2

Рассмотрим вариант решения задания из учебника Макарычев, Миндюк, Нешков 9 класс, Просвещение:
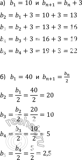
568. Вычислите второй, третий, четвёртый и пятый члены последовательности (bn), если известно, что:
а) первый член равен 10, а каждый следующий на 3 больше предыдущего, т. е. bх = 10 и bn + 1 = bn + 3;
б) первый член равен 40, а каждый следующий равен предыдущему, делённому на 2, т. е. = 40 и bn + 1 = bn/2.
*размещая тексты в комментариях ниже, вы автоматически соглашаетесь с пользовательским соглашением