Упр.569 ГДЗ Макарычев Миндюк 9 класс (Алгебра)
Решение #1
Решение #2

Рассмотрим вариант решения задания из учебника Макарычев, Миндюк, Нешков 9 класс, Просвещение:
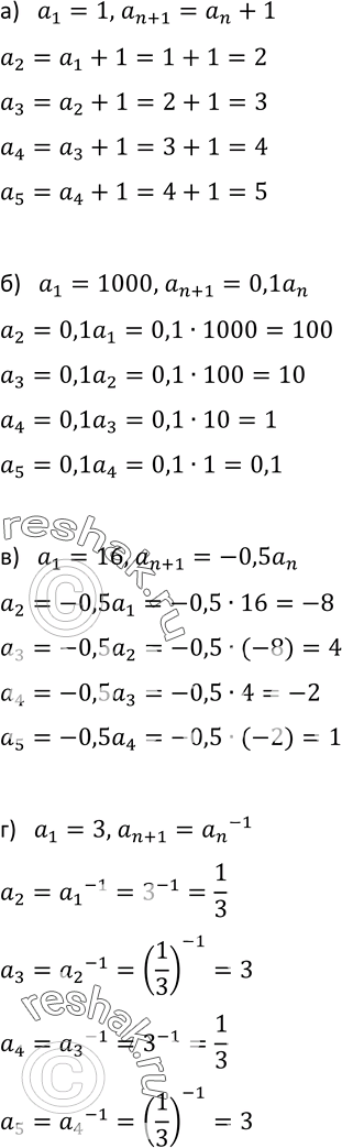
569. Выпишите первые пять членов последовательности (аn), если:
а) а1 = 1, аn+1 = аn+1;
б) а1 = 1000, аn+ 1 = 0,1an;
в) а1 = 16, аn + 1 = -0,5аn;
г) а1 = 3, аn+1 = а -1/n.
*размещая тексты в комментариях ниже, вы автоматически соглашаетесь с пользовательским соглашением