Упр.580 ГДЗ Макарычев Миндюк 9 класс (Алгебра)
Решение #1
Решение #2

Рассмотрим вариант решения задания из учебника Макарычев, Миндюк, Нешков 9 класс, Просвещение:
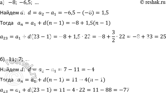
580. Найдите двадцать третий и n-й члены арифметической прогрессии:
а) -8; -6,5; ... ; б) 11; 7;... .
*размещая тексты в комментариях ниже, вы автоматически соглашаетесь с пользовательским соглашением